Análise da remoção do hidróxido de cálcio de canais radiculares bovinos com diferentes técnicas através da microscopia eletrônica de varredura
DOI:
https://doi.org/10.18256/2238-510X.2019.v8i2.3075Palavras-chave:
Endodontia. Hidróxido de Cálcio. Microscopia Eletrônica de VarreduraResumo
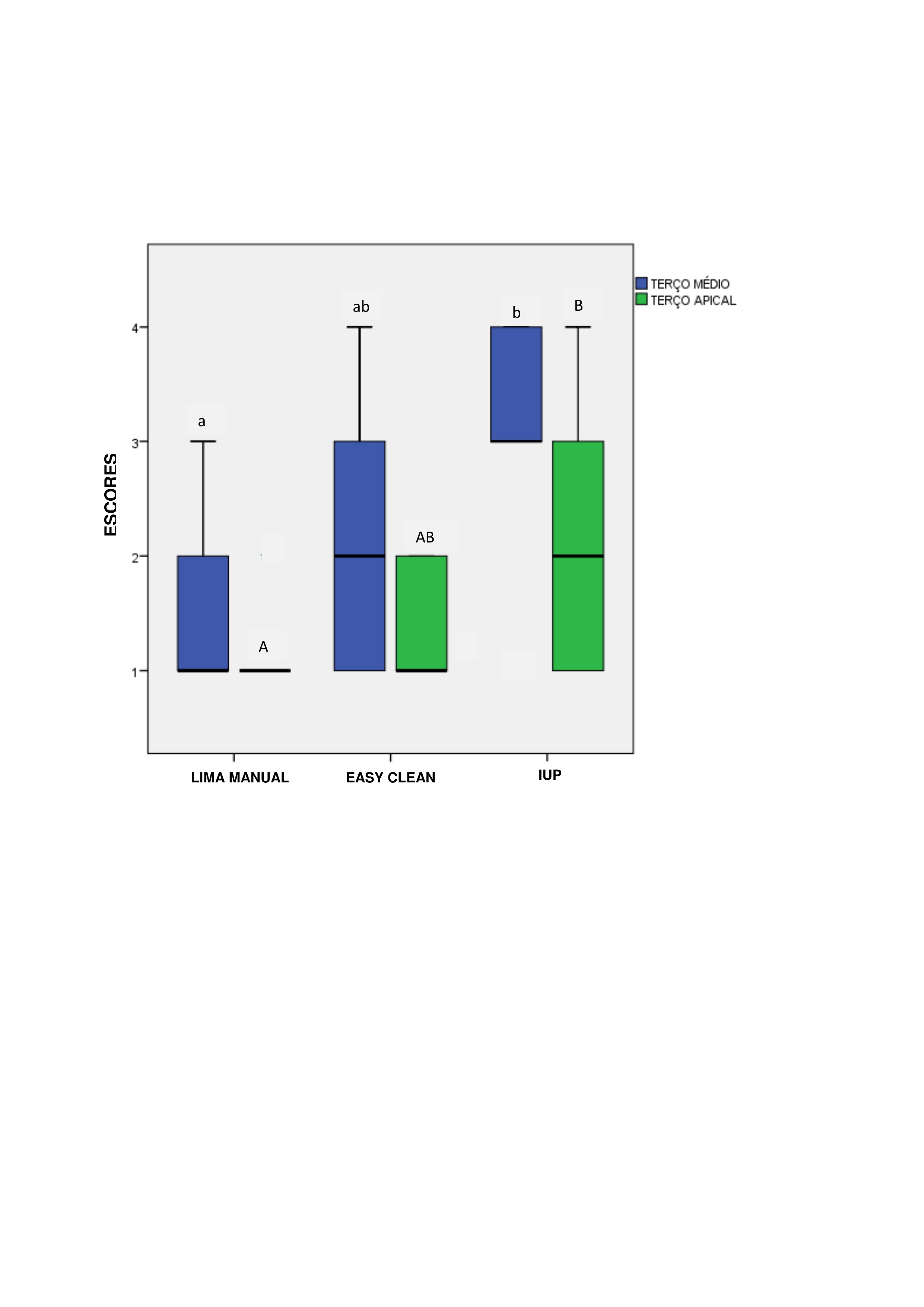
Objetivo: Avaliar a eficácia da remoção de Ca (OH)2 do canal radicular, comparando o uso de limas manuais, Easy Clean e irrigação ultrassônica passiva (IUP). Método: Trinta dentes incisivos bovinos foram utilizados neste estudo. Os canais radiculares foram preparados e as amostras foram divididas aleatoriamente em 3 grupos de acordo com a técnica utilizada para a remoção do Ca(OH)2 (n = 10): G1: limas manuais; G2: lima Easy Clean; G3: IUP. Após quinze dias, os espécimes foram seccionados e processados para observação dos terços médio e apical utilizando microscopia eletrônica de varredura (MEV). Um avaliador cego e calibrado atribuiu escores a cada espécime. Os dados obtidos foram submetidos ao teste de Kruskal-Wallys, seguido do teste de Dunn. Resultados: Não houve diferença significativa na remoção do Ca(OH)2 entre a lima manual e a Easy Clean e entre Easy Clean e IUP. A técnica de IUP removeu significativamente mais Ca(OH)2 quando comparado com o grupo lima manual. Nenhuma das técnicas testadas removeu completamente o Ca(OH)2 das paredes do canal radicular. Conclusão: Independentemente da técnica utilizada, nenhum dos protocolos testados removeu completamente o Ca(OH)2 do canal radicular. Entretanto, a irrigação ultrassônica passiva foi mais eficaz do que o grupo das limas manuais.
Referências
Alves FR, Siqueira JF Jr, Carmo FL, Santos AL, Peixoto RS, Rôças IN, Rosado AS. Bacterial community profiling of cryogenically ground samples from the apical and coronal root segments of teeth with apical periodontitis. J Endod. 2009;35:486-92.
Rosa GP, Nora MB, de Souza, MCA, Rangel LFGO, Chaves ESC. Medicação Intracanal Utilizada nas Clínicas de Endodontia dos Cursos de Graduação em Odontologia da Universidade Severino Sombra e na Faculdade de Odontologia de Valença. Rev Pró-Uni. 2011;2:41-52.
Soares IJ.; Goldberg F. Endodontia: técnicas e fundamentos. 2. ed. Porto Alegre: Artmed, 2011.
Zart PTM, Michelon C, Zanatta FB, Bier CAS, Manfio AP. Eficácia da irrigação ultrassônica passiva na remoção de hidróxido de cálcio. Rev Odontologia da Unesp. 2014;43:15-23.
Silva LJ, Pessoa OF, Teixeira MB, Gouveia CH, Braga RR. Micro-CT evaluation of calcium hydroxide removal through passive ultrasonic irrigation associated with or without an additional instrument. Int Endod J. 2015;48:768-73.
Alturaiki S, Lamphon H, Edrees H, Ahlquist M. Efficacy of 3 Different Irrigation Systems on Removal of Calcium Hydroxide from the Root Canal: A Scanning Electron Microscopic Study. J Endod. 2015;41:91-101.
Rodrigues CT, Duarte MAH, Guimarães BM, Vivan RR, Bernardineli N. Comparison of two methods of irrigant agitation in the removal of residual filling material in retreatment. Braz Oral Res. 2017;18:1-8.
Fraga SC, Marquizeppe GH, Duarte, MAH, Weckwerth PH, Vivan RR. Influência do veículo e do agente de irrigação na remoção de pastas de hidróxido de cálcio do canal radicular: análise em estereomicroscópio. SALUSVITA. 2012;31:119-32.
Abi-Rached GP, Herrera DR, Zaia AA, Ferraz CC, Almeida JF, Gomes BP. Efficacy of ethylene-diamine-tetra-acetic acid associated with chlorhexidine on intracanal medication removal: a scanning electron microscopy study. Microsc Res Tech. 2014; 77:735-39.
Margelos J, Eliades G, Verdelis C, Palaghias G. Interaction of calcium hydroxide with zinc oxide-eugenol type sealers: a potential clinical problem. J Endod. 1997;23:43-8.
Van der Luis LW, Versluis M, Wu MK, Wesselink PR. The evaluation of removal of calcium hydroxide paste from an artificial standardized groove in the apical root canal using different irrigation. Int Endod J. 2007;40:52-7.
Kirar DS, Jain P1, Patni P. Comparison of different irrigation and agitation methods for the removal of two types of calcium hydroxide medicaments from the root canal wall: An in-vitro study. Clujul Medical. 2017;90:327-32.
Wiseman A1, Cox TC, Paranjpe A, Flake NM, Cohenca N, Johnson JD. Efficacy of Sonic and Ultrasonic Activation for Removal of Calcium Hydroxide from Mesial Canals of Mandibular Molars: A Microtomographic Study. J Endod, 2011;37:235-8.
Kato AS, Cunha RS, da Silveira Bueno CE, Pelegrine RA, Fontana CE, de Martin AS. Investigation of the Efficacy of Passive Ultrasonic Irrigation versus Irrigation with Reciprocating Activation: An Environmental Scanning Electron Microscopic Study. J Endod. 2016;42:659-63.
Gokturk H, Ozkocak I, Buyukgebiz F, Demir O. Effectiveness of various irrigation protocols for the removal of calcium hydroxide from artificial standardized grooves. J Appl Oral Sci. 2017;25:290-8.
Guerisoli DM, Marchesan MA, Walmsley AD, Lumley PJ, Pecora JD. Evaluation of smear layer removal by EDTAC and sodium hypochlorite with ultrasonic agitation. Int Endod J 2002;35:418-21.
Gutarts R, Nusstein J, Reader A, Beck M. In vivo debridement efficacy of ultrasonic irrigation following hand-rotary instrumentation in human mandibular molars. J Endod 2005;31:166-70.
Blank-gonçalves LM, Nabeshima CK, Martins GH, Machado ME. Qualitative analysis of the removal of the smear layer in the apical third of curved roots: conventional irrigation versus activation systems. J Endod 2011;37:1268-71.
Nunes KS, Feron L, Montagner F, de Melo TAF., Kiany Scarssi et al. Analysis of root canal organic tissue dissolution capacity according to the type of irrigation solution and agitation technique. BJOS. 2016;15:70-74.
Duque JA, Duarte MA, Canali LC, Zancan RF, Vivan RR, Bernardes RA, Bramante CM.Comparative Effectiveness of New Mechanical Irrigant Agitating Devices for Debris Removal from the Canal and Isthmus of Mesial Roots of Mandibular Molars. J Endod. 2017;43:326-31.
Cesario F, Hungaro Duarte MA, Duque JA, Alcalde MP, de Andrade FB, Reis Só MV, de Vasconcelos BC, Vivan RR. Comparisons by microcomputed tomography of the efficiency of different irrigation techniques for removing dentinal debris from artificial grooves. J Conserv Dent. 2018;21:383-7.
Arquivos adicionais
Publicado
Edição
Seção
Licença
A revista se reserva o direito de efetuar nos originais, alterações de ordem normativa, ortográfica e gramatical, com vistas a manter o padrão culto da língua, respeitando, porém, o estilo dos autores. As opiniões emitidas pelos autores dos artigos são de sua exclusiva responsabilidade.
Autores mantém os direitos autorais e concedem à revista o direito de primeira publicação, com o trabalho simultaneamente licenciado sob a Licença Creative Commons Attribution que permite o compartilhamento do trabalho com reconhecimento da autoria e publicação inicial nesta revista.